Preferencias por la comodificación

El rol de la movilidad social intergeneracional y las creencias meritocráticas en Chile


Andreas Laffert1,2

1Instituto de Sociología, Pontificia Universidad Católica de Chile

2Centro de Estudios de Conflicto y Cohesión Social - COES

Coloquio de Investigación en Justicia Distributiva y Desigualdad Socioeconómica

4 Septiembre 2025, Santiago

Contexto y motivación

Contexto y motivación

Antecedentes

  1. Privatización y mercantilización de bienes públicos, políticas de bienestar y servicios sociales (Gingrich, 2011; Streeck, 2016)
  1. En AL y Chile, modificaron la arquitectura de las instituciones del bienestar expandiendo lógica de mercado (Ferre, 2023; Madariaga, 2020)
  1. Este orden económico se refleja en una economía moral específica (Mau, 2015; Svallfors, 2006)

Preferencias por justicia de mercado (Busemeyer, 2014; Castillo et al., 2025; Koos & Sachweh, 2019; Lindh, 2015)

Preferencias por justicia de mercado

  • Lane (1986): justicia de mercado vs. justicia política

  • Creencias normativas que legitiman la idea de que el acceso a los servicios sociales esenciales —como la salud, la educación o las pensiones— debe determinarse según criterios basados en el mercado (Lindh, 2015, p. 895)

  • Medición: evaluar si las personas consideran justo que el acceso a dichos servicios dependa de los ingresos (Castillo et al., 2025; Kluegel et al., 1999; Lindh, 2015)

Preferencias por la comodificación de servicios

Preferencias por la comodificación de servicios

Contextual

Individual

Preferencias por la comodificación de servicios: Chile

  1. Otero & Mendoza (2024) proveen evidencia sobre:

    • Personas en posiciones sociales bajas/subordinadas muestran menor apoyo a la justicia de mercado que aquellas en posiciones altas/privilegiadas.
  2. Castillo et al. (2025) encuentran que:

    • La percepción de la desigualdad económica reduce el apoyo a la justicia de mercado.
    • Las percepciones meritocráticas (esfuerzo) aumenta el respaldo a la justicia de mercado.

Este estudio


El movimiento entre posiciones sociales expone a los individuos experiencias y mecanismos que afectan nociones de justicia (Alesina et al., 2018; Ares, 2020; Day & Fiske, 2017; Gugushvili, 2017)





Meritocracia como mecanismo de sesgo de atribución(Gugushvili, 2016; Molina et al., 2019; Newman, 2023).

(1) ¿Cómo la movilidad social intergeneracional afecta las preferencias por comodificación en salud, pensiones y educación en Chile?

(2) ¿Cómo las creencias meritocráticas median esta relación en el contexto chileno?

Contexto chileno

Hipótesis

Método

Enfoque: Mobility Effects

  • Breen & Ermisch (2024) proponen un método para estimar el efecto (causal) de la movilidad social intergernacional sobre un outcome
  • ¿En qué habría cambiado el resultado Y entre las personas de origen j que llegaron al destino k si, hipotéticamente, hubieran llegado al destino k’?

Estrategia de identificación causal

Figura 1: DAG movilidad social, meritocracia y preferencias por comodificación

Datos

  • Encuesta Longitudinal Social de Chile (ELSOC) de COES.

  • Muestra analítica: olas 2016 (N = 2.927), 2018 (N = 3.748) y 2023 (N = 2.726)

  • Encuesta panel representativa de zonas urbanas, localizadas en 40 ciudades del país (92 comunas y 13 regiones)

  • Diseño muestral complejo: probabilístico, por conglomerados, multietápico y estratificado según el tamaño de las ciudades.

  • Población objetivo incluye a mujeres y hombres de entre 18 y 75 años que residen habitualmente en viviendas privadas

Outcome

Tratamiento

Siguiendo la propuesta de Breen & Ermisch (2024) para estimar el efecto causal de la movilidad social:

  1. Asignación de clase: En base a la ocupación (ISCO-08) del padre/madre y del entrevistado se crean estratos de origen y destino (bajo, medio y alto) según terciles de la distribución del índice de estatus ocupacional (ISEI)

  2. Propensity-score weighting: Se estima la probabilidad de movilidad social mediante un modelo logístico multinomial en relación con las trayectorias inmóviles (categ. ref.) para cada estrato. Creación de IPW o “clones”

Tratamiento

Tabla 1: Movilidad ocupacional por grupos ocupacionales
Father stratum Offspring stratum Total
Low Middle High
Low 571
44.7 %
42.2 %
435
34 %
34.3 %
272
21.3 %
21.7 %
1278
100 %
33 %
Middle 436
34.6 %
32.2 %
448
35.6 %
35.3 %
376
29.8 %
29.9 %
1260
100 %
32.5 %
High 345
25.7 %
25.5 %
387
28.9 %
30.5 %
608
45.4 %
48.4 %
1340
100 %
34.6 %
Total 1352
34.9 %
100 %
1270
32.7 %
100 %
1256
32.4 %
100 %
3878
100 %
100 %
χ2=198.038 · df=4 · Cramer's V=0.160 · p=0.000
  • N (id único) = 4.447. Porcentajes en azul corresponde a las filas y en verde a las columnas.

Tratamiento

Mediador

  • Meritocracia: se mide a partir de dos componentes, a saber, el esfuerzo y el talento (Young, 1958)

  • Medición:

    • Ítem esfuerzo: “En Chile, se recompensa a las personas por su esfuerzo”
    • Ítem talento: “En Chile, se recompensa a las personas por su inteligencia y habilidades”
    • Ambos ítems se responden en una escala Likert de 1 (totalmente en desacuerdo) a 5 (totalmente de acuerdo)

Estimand

  • Efecto causal promedio de pasar de una clase de origen j a una clase de destino k comparando a las personas que realmente alcanzan k con su resultado contrafactual si se hubieran trasladado a un destino alternativo k′ (Breen & Ermisch, 2024) (Ecuación 1).

\[ ATT_{jkk′} =E[Y(D=k|O=j, D=k)]−E[Y(D=k′|O=j, D=k)] \qquad(1)\]

  • El estimador resultante es el efecto promedio del tratamiento sobre los tratados (ATT)
  • Mi interés es comparar con la situación de inmobilidad: cuando k’ = j

Estimando

  • Efecto movilidad: modelos de regresión lineal con ponderaciones de probabilidad inversa (IPW) para la movilidad condicional a la clase de origen (Breen & Ermisch, 2024) y SE clusterizados por id

  • Mediación: Average Causal Mediation Effect (Imai et al., 2010)

Resultados

Modelos

Figura 2: Estimaciones de efectos de movilidad en preferencia por comodificación en salud

Modelos

Figura 3: Estimaciones de efectos de movilidad en preferencia por comodificación en educación

Modelos

Figura 4: Estimaciones de efectos de movilidad en preferencia por comodificación en pensiones

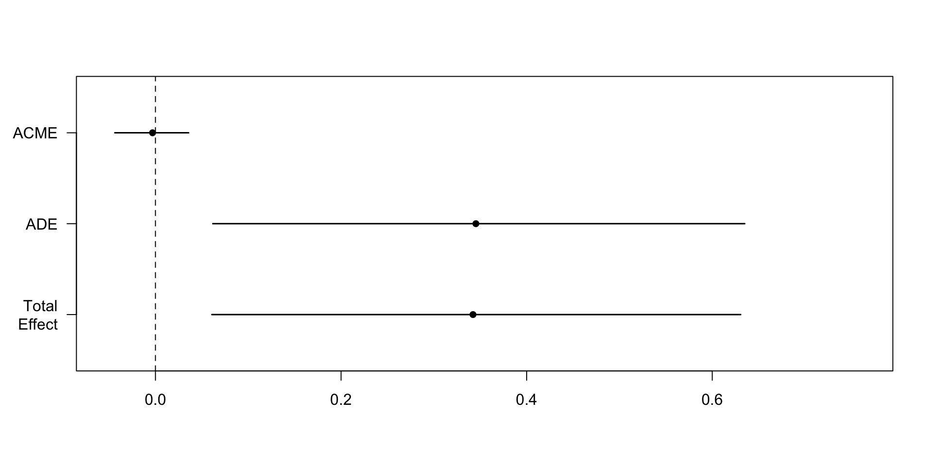
Mediación

Figura 5: ACME para meritocracia y preferencias por comodificación en pensiones

Discusión y proyecciones

Discusión y proyecciones

  1. Movilidad social: ascendente (Middle→High) incrementa la preferencia por comodificación en pensiones (dominio), no en otros.
  2. Contexto chileno: profunda comodificación y privatización de servicios escenciales → trabajador-empresario
  3. Mediación: rol de la meritocracia como mediador → ACME supuestos muy fuertes = alternativas (?)

Gracias por su atención!

Referencias

Alesina, A., Stantcheva, S., & Teso, E. (2018). Intergenerational Mobility and Preferences for Redistribution. American Economic Review, 108(2), 521-554. https://doi.org/10.1257/aer.20162015
Ares, M. (2020). Changing Classes, Changing Preferences: How Social Class Mobility Affects Economic Preferences. West European Politics, 43(6), 1211-1237. https://doi.org/10.1080/01402382.2019.1644575
Boccardo, G. (2020). 30 Años de Privatizaciones En Chile: Lo Que La Pandemia Reveló (Nodo XXI). Santiago.
Breen, R., & Ermisch, J. (2024). The Effects of Social Mobility. Sociological Science, 11, 467-488. https://doi.org/10.15195/v11.a17
Busemeyer, M. (2014). Skills and Inequality: Partisan Politics and the Political Economy of Education Reforms in Western Welfare States. Cambridge University Press.
Busemeyer, M., & Iversen, T. (2020). The Welfare State with Private Alternatives: The Transformation of Popular Support for Social Insurance. The Journal of Politics, 82(2), 671-686. https://doi.org/10.1086/706980
Canales Cerón, M., Orellana Calderón, V. S., & Guajardo Mañán, F. (2021). Sujeto y Cotidiano En La Era Neoliberal: El Caso de La Educación Chilena. Revista Mexicana de Ciencias Políticas y Sociales, 67(244). https://doi.org/10.22201/fcpys.2448492xe.2022.244.70386
Castillo, J. C., Laffert, A., Carrasco, K., & Iturra, J. (2025). Perceptions of Inequality and Meritocracy: Their Interplay in Shaping Preferences for Market Justice in Chile (2016-2023). Under Review at Frontiers in Sociology.
Day, M. V., & Fiske, S. T. (2017). Movin’ on Up? How Perceptions of Social Mobility Affect Our Willingness to Defend the System. Social Psychological and Personality Science, 8(3), 267-274. https://doi.org/10.1177/1948550616678454
Ferre, J. C. (2023). Welfare Regimes in Twenty-First-Century Latin America. Journal of International and Comparative Social Policy, 39(2), 101-127. https://doi.org/10.1017/ics.2023.16
Flores, I., Sanhueza, C., Atria, J., & Mayer, R. (2020). Top Incomes in Chile: A Historical Perspective on Income Inequality, 1964–2017. Review of Income and Wealth, 66(4), 850-874. https://doi.org/10.1111/roiw.12441
Gingrich, J. R. (2011). Making Markets in the Welfare State: The Politics of Varying Market Reforms (1.ª ed.). Cambridge University Press. https://doi.org/10.1017/CBO9780511791529
Gugushvili, A. (2016). Intergenerational Objective and Subjective Mobility and Attitudes towards Income Differences: Evidence from Transition Societies. Journal of International and Comparative Social Policy, 32(3), 199-219. https://doi.org/10.1080/21699763.2016.1206482
Gugushvili, A. (2017). Subjective Intergenerational Mobility and Support for Welfare State Programmes.
Imai, K., Keele, L., & Yamamoto, T. (2010). Identification, Inference and Sensitivity Analysis for Causal Mediation Effects. Statistical Science, 25(1). https://doi.org/10.1214/10-STS321
Immergut, E. M., & Schneider, S. M. (2020). Is It Unfair for the Affluent to Be Able to Purchase «Better» Healthcare? Existential Standards and Institutional Norms in Healthcare Attitudes across 28 Countries. Social Science & Medicine, 267, 113146. https://doi.org/10.1016/j.socscimed.2020.113146
Kluegel, J. R., Mason, D. S., & Wegener, B. (1999). The Legitimation of Capitalism in the Postcommunist Transition: Public Opinion about Market Justice, 1991-1996. European Sociological Review, 15(3), 251-283. Recuperado de https://www.jstor.org/stable/522731
Koos, S., & Sachweh, P. (2019). The Moral Economies of Market Societies: Popular Attitudes towards Market Competition, Redistribution and Reciprocity in Comparative Perspective. Socio-Economic Review, 17(4), 793-821. https://doi.org/10.1093/ser/mwx045
Lane, R. E. (1986). Market Justice, Political Justice. American Political Science Review, 80(2), 383-402. https://doi.org/10.2307/1958264
Lee, J.-S., & Stacey, M. (2023). Fairness Perceptions of Educational Inequality: The Effects of Self-Interest and Neoliberal Orientations. The Australian Educational Researcher. https://doi.org/10.1007/s13384-023-00636-6
Lindh, A. (2015). Public Opinion against Markets? Attitudes towards Market Distribution of Social ServicesA Comparison of 17 Countries. Social Policy & Administration, 49(7), 887-910. https://doi.org/10.1111/spol.12105
Llorca-Jaña, M., & Miller, R. M. D. (2021). Historia económica de Chile desde la independencia. Santiago de Chile: RIL editores.
López-Roldán, P., & Fachelli, S. (Eds.). (2021). Towards a Comparative Analysis of Social Inequalities between Europe and Latin America. Cham: Springer International Publishing. https://doi.org/10.1007/978-3-030-48442-2
Madariaga, A. (2020). The Three Pillars of Neoliberalism: Chile’s Economic Policy Trajectory in Comparative Perspective. Contemporary Politics, 26(3), 308-329. https://doi.org/10.1080/13569775.2020.1735021
Mau, S. (2015). Inequality, Marketization and the Majority Class: Why Did the European Middle Classes Accept Neo-Liberalism? Houndmills: Palgrave Macmillan.
Molina, M. D., Bucca, M., & Macy, M. W. (2019). It’s Not Just How the Game Is Played, It’s Whether You Win or Lose. SCIENCE ADVANCES.
Newman, B. J. (2023). Economic Inequality, the Working Poor, and Belief in the American Dream. Public Opinion Quarterly, 86(4), 944-954. https://doi.org/10.1093/poq/nfac043
Núcleo de Sociología Contingente, [NUDESOC]. (2020). Informe de Resultados Oficial Encuesta Zona Cero. Santiago de Chile.
Otero, G., & Mendoza, M. (2024). The Power of Diversity: Class, Networks and Attitudes Towards Inequality. Sociology, 58(4), 851-876. https://doi.org/10.1177/00380385231217625
Panes, D. (2020). Críticas y Experiencias Obreras En Torno al Sistema de AFP’s En Chile (1981-2020) (Tesis doctoral). Universidad de Chile, Santiago.
Somma, N. M., Bargsted, M., Disi Pavlic, R., & Medel, R. M. (2021). No Water in the Oasis: The Chilean Spring of 2019–2020. Social Movement Studies, 20(4), 495-502. https://doi.org/10.1080/14742837.2020.1727737
Streeck, W. (2016). How Will Capitalism End? Essays on a Failing System. London: Verso.
Svallfors, S. (2006). The Moral Economy of Class: Class and Attitudes in Comparative Perspective. Stanford University Press.
Svallfors, S. (Ed.). (2007). The Political Sociology of the Welfare State: Institutions, Social Cleavages, and Orientations (1.ª ed.). Stanford University Press. https://doi.org/10.2307/j.ctvr0qv0q
Torche, F. (2014). Intergenerational Mobility and Inequality: The Latin American Case. Annual Review of Sociology, 40(1), 619-642. https://doi.org/10.1146/annurev-soc-071811-145521
Young, M. (1958). The Rise of the Meritocracy. New Brunswick, N.J., U.S.A: Transaction Publishers.