Movilidad social y preferencias por la comodificación de pensiones en Chile


Andreas Laffert1,2

1Instituto de Sociología, Pontificia Universidad Católica de Chile

2Centro de Estudios de Conflicto y Cohesión Social - COES

Seminario de tesis

Supervisores: Prof. Mauricio Bucca y Prof. Andrea Canales

8 Octubre 2025, Santiago

Contexto y motivación

Contexto y motivación

Antecedentes

  1. Privatización y mercantilización de bienes públicos, políticas de bienestar y servicios sociales (Gingrich, 2011; Streeck, 2016)
  1. En AL y Chile, modificaron la arquitectura de las instituciones del bienestar expandiendo lógica de mercado (Ferre, 2023; Madariaga, 2020)
  1. Este orden económico se refleja en una economía moral específica (Mau, 2015; Svallfors, 2006)

Preferencias por justicia de mercado (Busemeyer, 2014; Castillo et al., 2025; Koos & Sachweh, 2019; Lindh, 2015)

Preferencias por justicia de mercado

  • Lane (1986): justicia de mercado vs. justicia política

  • Creencias normativas que legitiman la idea de que el acceso a los servicios sociales esenciales —como la salud, la educación o las pensiones— debe determinarse según criterios basados en el mercado (Lindh, 2015, p. 895)

  • Medición: evaluar si las personas consideran justo que el acceso a dichos servicios dependa de los ingresos (Castillo et al., 2025; Kluegel et al., 1999; Lindh, 2015)

Preferencias por la comodificación de servicios

Contexto chileno

Preferencias por la comodificación de servicios

Contextual

Individual

Preferencias por la comodificación de servicios: Chile

  1. Otero & Mendoza (2024) proveen evidencia sobre:

    • Personas en posiciones sociales bajas/subordinadas muestran menor apoyo a la justicia de mercado que aquellas en posiciones altas/privilegiadas.
  2. Castillo et al. (2025) encuentran que:

    • La percepción de la desigualdad económica reduce el apoyo a la justicia de mercado.
    • Las percepciones meritocráticas (esfuerzo) aumenta el respaldo a la justicia de mercado.

Sin embargo…

Este estudio


El movimiento entre posiciones sociales expone a los individuos a condiciones y experiencias que afectan sus nociones de justicia distributiva (Alesina et al., 2018; Ares, 2020; Day & Fiske, 2017; Gugushvili, 2017)





¿Cómo? Movilidad ascendente refuerza ver al mercado como asignador justo, la descendente lo cuestiona. La meritocracia es un canal cognitivo para ese proceso (Gugushvili, 2016; Mau, 2015).

(1) ¿Cómo la movilidad social intergeneracional afecta las preferencias por la comodificación de las pensiones en Chile?

(2) ¿En qué medida las creencias meritocráticas condicionan esta relación?

Movilidad social

El mecanismo del self-serving bias

  • Las personas ajustan sus creencias sobre justicia según cómo explican su posición social (Gugushvili, 2016; Miller & Ross, 1975).
  • Las experiencias de movilidad activan procesos de atribución causal:
    • Interna → éxito por esfuerzo → el mercado es justo.
    • Externa → fracaso por factores estructurales → el mercado es injusto.
  • Ascenso: refuerza la creencia de que el mercado premia el mérito.
  • Descenso: puede generar disonancia y cuestionar esa justicia.

¿Cómo?

  • No solo cambia intereses materiales, también cambia cómo las personas entienden la justicia (Gugushvili, 2016; Helgason & Rehm, 2025).
  • Al moverse, los individuos recalibran sus creencias sobre la meritocracia (Mijs et al., 2022).
  • Movilidad ascendente → refuerza la creencia en un mercado justo (asignador legítimo de recompensas).
  • Movilidad descendente → desafía esa creencia (percepción de arbitrariedad o injusticia).
  • La meritocracia filtra estas experiencias (Mau, 2015):
    • Fuerte creencia en mérito → mantiene la fe en la justicia del mercado (disonancia resuelta internamente).
    • Débil creencia en mérito → percibe el sistema como injusto (disonancia resuelta externamente).

Hipótesis

  • H1: La movilidad ascendente refuerza las preferencias por comodificación de pensiones, mientras que la movilidad descendente las reduce.

  • H2a. El efecto positivo de la movilidad ascendente sobre el apoyo a la mercantilización es más fuerte entre las personas con creencias meritocráticas más sólidas.
    Self-serving bias: el ascenso confirma que el sistema recompensa el esfuerzo.

  • H2b. El efecto negativo de la movilidad descendente sobre el apoyo a la mercantilización es más débil entre las personas con creencias meritocráticas más fuertes.
    Resolución de la disonancia: los meritócratas internalizan la pérdida («mi culpa»), mientras que los no meritócratas la atribuyen al sistema («es injusto»).

Método

Enfoque: Mobility Effects

  • Breen & Ermisch (2024) proponen un método para estimar el efecto (causal) de la movilidad social intergernacional sobre un outcome
  • ¿En qué habría cambiado el resultado Y entre las personas de origen j que llegaron al destino k si, hipotéticamente, hubieran llegado al destino k’?

Estrategia de identificación causal

Figura 1: DAG movilidad social, meritocracia y preferencias por comodificación
  • M es post-tratamiento; lo uso para caracterizar heterogeneidad del efecto, sin atribuir causalidad a T×M. El efecto principal (ATT) no depende de M.

Datos

  • Encuesta Longitudinal Social de Chile (ELSOC) de COES.

  • Muestra analítica: olas 2016 (N = 2.927), 2018 (N = 3.748) y 2023 (N = 2.726)

  • Encuesta panel representativa de zonas urbanas, localizadas en 40 ciudades del país (92 comunas y 13 regiones)

  • Diseño muestral complejo: probabilístico, por conglomerados, multietápico y estratificado según el tamaño de las ciudades.

  • Población objetivo incluye a mujeres y hombres de entre 18 y 75 años que residen habitualmente en viviendas privadas

Outcome

Figura 2: Distribución de respuestas para las preferencias por comodificación de pensiones Chile (2016-2023)

Tratamiento

Siguiendo la propuesta de Breen & Ermisch (2024) para estimar el efecto causal de la movilidad social:

  1. Asignación de clase (O y D): Con ISCO-08/ISEI, defino origen (O ∈ {bajo, medio, alto}) y destino (D). Para cada origen (O=j), el tratamiento es llegar a (D=k) (móvil) vs inmóvil (D=j).

  2. ATT por entropy balancing (no PS):

    • En cada estrato (O=j), uso ebal para reponderar solo a los controles (inmóviles) e igualar sus valores de los confusores pre-tratamiento (C) a los de los tratados (móviles).
    • Obtengo IPW-ATT estabilizados (tratados=1; controles = pesos de ebal).

Tratamiento

Tabla 1: Movilidad ocupacional por grupos ocupacionales
Father stratum Offspring stratum Total
Low Middle High
Low 571
44.7 %
42.2 %
435
34 %
34.3 %
272
21.3 %
21.7 %
1278
100 %
33 %
Middle 436
34.6 %
32.2 %
448
35.6 %
35.3 %
376
29.8 %
29.9 %
1260
100 %
32.5 %
High 345
25.7 %
25.5 %
387
28.9 %
30.5 %
608
45.4 %
48.4 %
1340
100 %
34.6 %
Total 1352
34.9 %
100 %
1270
32.7 %
100 %
1256
32.4 %
100 %
3878
100 %
100 %
χ2=198.038 · df=4 · Cramer's V=0.160 · p=0.000
  • N (id único) = 4.447. Porcentajes en azul corresponde a las filas y en verde a las columnas.

Tratamiento

Heterogenidad causal

  • Meritocracia: se mide a partir de la percepción de recompensa del esfuerzo (Young, 1958)

  • Medición:

    • Ítem: “En Chile, se recompensa a las personas por su esfuerzo”
    • Escala Likert de 1 (totalmente en desacuerdo) a 5 (totalmente de acuerdo).
    • Fue dicotomizado de modo tal que baja meritocracia (≤ 3) y alta meritocracia (≥ 4)

Estimand

  • Breen & Ermisch (2024): Efecto causal promedio de pasar de una clase de origen j a una clase de destino k comparando a las personas que realmente alcanzan k con su resultado contrafactual si se hubieran trasladado a un destino alternativo k′ (Ecuación 1).

\[ ATT_{j,k,k′} =E[Y(D=k|O=j, D=k)]−E[Y(D=k′|O=j, D=k)] \qquad(1)\]

  • Mi interés es comparar con la situación de inmobilidad: cuando k’ = j (Ecuación 2)

\[ ATT_{j,k,j} =E[Y(D=k|O=j, D=k)]−E[Y(D=j|O=j, D=k)] \qquad(2)\]

Estimador

\[ Y_i = \alpha + \beta T_i + X_i'\gamma + \lambda_{t(i)} + \varepsilon_i \quad \text{(WLS con IPW–ATT, CR2 por id)} \]

  • Muestra: individuos con mismo origen de clase \(O=j\)
  • Outcome: \(Y_i\) preferencia por comodificación de pensiones
  • Tratamiento: \(T_i=1\) si \(D_i=k\) (móvil), \(T_i=0\) si \(D_i=j\) (inmóvil)
  • Pesos: IPW–ATT estabilizados con ebal
  • Errores estándar: CR2 clusterizados por id
  • Efectos fijos: \(\lambda_{t(i)}\) por ola
  • Controles: \(X_i'\gamma\) covariables propensity score movilidad
  • Interpretación: \(\beta = \widehat{ATT}_{j,k,j}\)
    → efecto causal de alcanzar destino \(k\) respecto a permanecer en \(j\)

Resultados

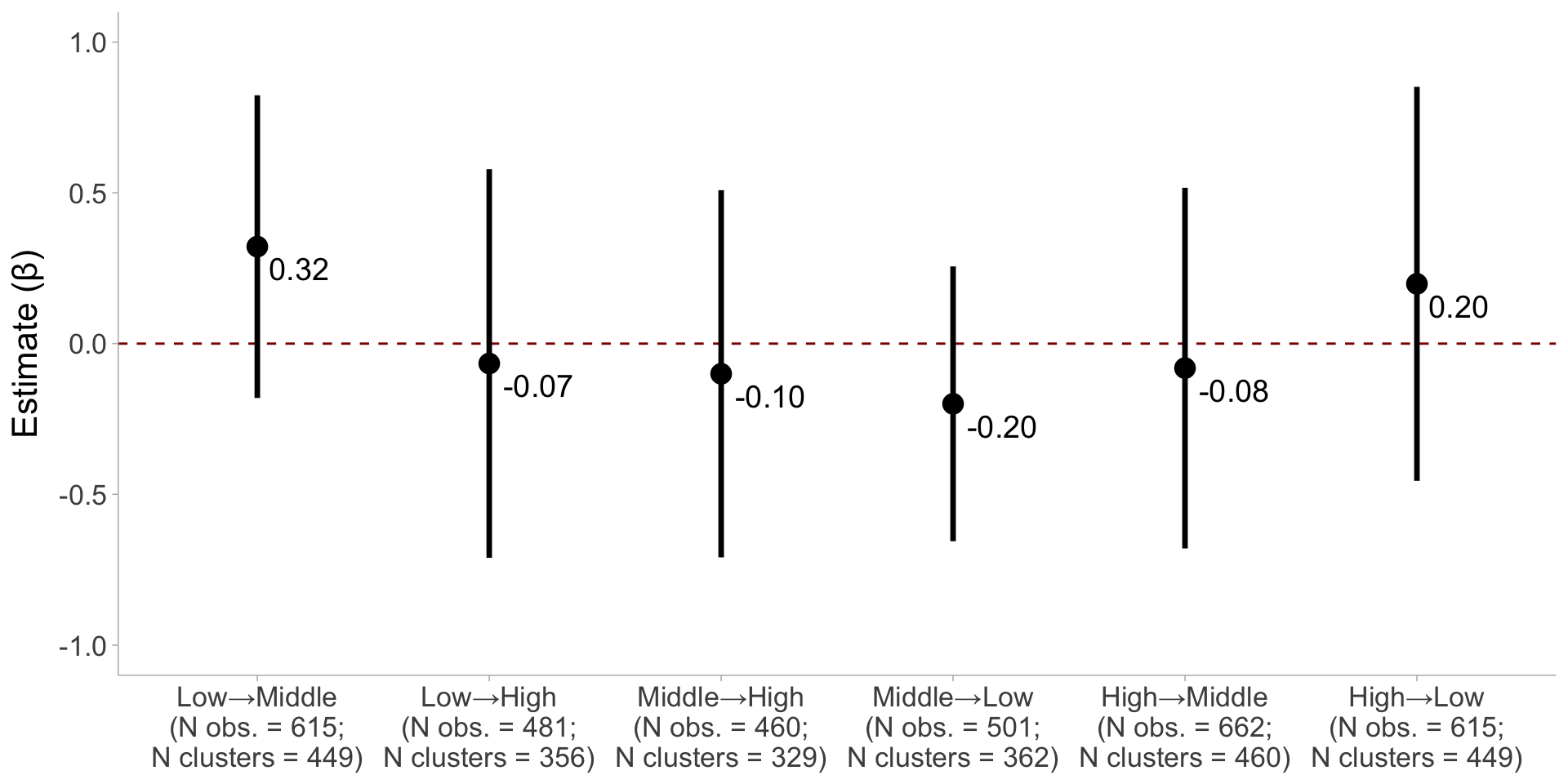
Mobility effects

Figura 3: Estimaciones de efectos de movilidad en preferencia por comodificación de pensiones

Heterogenidad

Figura 4: Interacción entre movilidad y meritocracia en preferencia por comodificación de pensiones

Heterogenidad

Figura 5: Efecto marginal de movilidad descendente High→Low por meritocracia

Discusión y proyecciones

Discusión y proyecciones

  1. Movilidad social: no hay efectos significativos. Sin embargo, existe cierta evidencia en la dirección de \(H1\):

    • Middle→High incrementa la preferencia por comodificación en pensiones.
    • High→Low disminuye la preferencia por comodificación en pensiones.
  2. Meritocracia: Entre quienes son escépticos con la meritocracia, descender High→Low implica preferir menos comodificación de pensiones (\(H2b\)).

  3. Contexto chileno: profunda comodificación y privatización de servicios escenciales → trabajador-empresario

Gracias por su atención!

Referencias

Bien, y cómo entra la creencia meritocratica en este diagrama de hipotesis y DAG causal entonces?

Alesina, A., Stantcheva, S., & Teso, E. (2018). Intergenerational Mobility and Preferences for Redistribution. American Economic Review, 108(2), 521-554. https://doi.org/10.1257/aer.20162015
Ares, M. (2020). Changing Classes, Changing Preferences: How Social Class Mobility Affects Economic Preferences. West European Politics, 43(6), 1211-1237. https://doi.org/10.1080/01402382.2019.1644575
Boccardo, G. (2020). 30 Años de Privatizaciones En Chile: Lo Que La Pandemia Reveló (Nodo XXI). Santiago.
Breen, R., & Ermisch, J. (2024). The Effects of Social Mobility. Sociological Science, 11, 467-488. https://doi.org/10.15195/v11.a17
Bucca, M. (2016). Merit and Blame in Unequal Societies: Explaining Latin Americans’ Beliefs about Wealth and Poverty. Research in Social Stratification and Mobility, 44, 98-112. https://doi.org/10.1016/j.rssm.2016.02.005
Busemeyer, M. (2014). Skills and Inequality: Partisan Politics and the Political Economy of Education Reforms in Western Welfare States. Cambridge University Press.
Busemeyer, M., & Iversen, T. (2020). The Welfare State with Private Alternatives: The Transformation of Popular Support for Social Insurance. The Journal of Politics, 82(2), 671-686. https://doi.org/10.1086/706980
Canales Cerón, M., Orellana Calderón, V. S., & Guajardo Mañán, F. (2021). Sujeto y Cotidiano En La Era Neoliberal: El Caso de La Educación Chilena. Revista Mexicana de Ciencias Políticas y Sociales, 67(244). https://doi.org/10.22201/fcpys.2448492xe.2022.244.70386
Castillo, J. C., Laffert, A., Carrasco, K., & Iturra, J. (2025). Perceptions of Inequality and Meritocracy: Their Interplay in Shaping Preferences for Market Justice in Chile (2016-2023). Under Review at Frontiers in Sociology.
Day, M. V., & Fiske, S. T. (2017). Movin’ on Up? How Perceptions of Social Mobility Affect Our Willingness to Defend the System. Social Psychological and Personality Science, 8(3), 267-274. https://doi.org/10.1177/1948550616678454
Ferre, J. C. (2023). Welfare Regimes in Twenty-First-Century Latin America. Journal of International and Comparative Social Policy, 39(2), 101-127. https://doi.org/10.1017/ics.2023.16
Flores, I., Sanhueza, C., Atria, J., & Mayer, R. (2020). Top Incomes in Chile: A Historical Perspective on Income Inequality, 1964–2017. Review of Income and Wealth, 66(4), 850-874. https://doi.org/10.1111/roiw.12441
Gingrich, J. R. (2011). Making Markets in the Welfare State: The Politics of Varying Market Reforms (1.ª ed.). Cambridge University Press. https://doi.org/10.1017/CBO9780511791529
Gugushvili, A. (2016). Intergenerational Social Mobility and Popular Explanations of Poverty: A Comparative Perspective. Social Justice Research, 29(4), 402-428. https://doi.org/10.1007/s11211-016-0275-9
Gugushvili, A. (2017). Subjective Intergenerational Mobility and Support for Welfare State Programmes.
Helgason, A. F., & Rehm, P. (2025). Class Experiences and the Long-Term Evolution of Economic Values. Social Forces, 103(3), 1125-1143. https://doi.org/10.1093/sf/soae135
Immergut, E. M., & Schneider, S. M. (2020). Is It Unfair for the Affluent to Be Able to Purchase «Better» Healthcare? Existential Standards and Institutional Norms in Healthcare Attitudes across 28 Countries. Social Science & Medicine, 267, 113146. https://doi.org/10.1016/j.socscimed.2020.113146
Kluegel, J. R., Mason, D. S., & Wegener, B. (1999). The Legitimation of Capitalism in the Postcommunist Transition: Public Opinion about Market Justice, 1991-1996. European Sociological Review, 15(3), 251-283. Recuperado de https://www.jstor.org/stable/522731
Koos, S., & Sachweh, P. (2019). The Moral Economies of Market Societies: Popular Attitudes towards Market Competition, Redistribution and Reciprocity in Comparative Perspective. Socio-Economic Review, 17(4), 793-821. https://doi.org/10.1093/ser/mwx045
Lane, R. E. (1986). Market Justice, Political Justice. American Political Science Review, 80(2), 383-402. https://doi.org/10.2307/1958264
Lee, J.-S., & Stacey, M. (2023). Fairness Perceptions of Educational Inequality: The Effects of Self-Interest and Neoliberal Orientations. The Australian Educational Researcher. https://doi.org/10.1007/s13384-023-00636-6
Lindh, A. (2015). Public Opinion against Markets? Attitudes towards Market Distribution of Social ServicesA Comparison of 17 Countries. Social Policy & Administration, 49(7), 887-910. https://doi.org/10.1111/spol.12105
Llorca-Jaña, M., & Miller, R. M. D. (2021). Historia económica de Chile desde la independencia. Santiago de Chile: RIL editores.
López-Roldán, P., & Fachelli, S. (Eds.). (2021). Towards a Comparative Analysis of Social Inequalities between Europe and Latin America. Cham: Springer International Publishing. https://doi.org/10.1007/978-3-030-48442-2
Madariaga, A. (2020). The Three Pillars of Neoliberalism: Chile’s Economic Policy Trajectory in Comparative Perspective. Contemporary Politics, 26(3), 308-329. https://doi.org/10.1080/13569775.2020.1735021
Mau, S. (2015). Inequality, Marketization and the Majority Class: Why Did the European Middle Classes Accept Neo-Liberalism? Houndmills: Palgrave Macmillan.
Mijs, J. J. B., Daenekindt, S., De Koster, W., & Van Der Waal, J. (2022). Belief in Meritocracy Reexamined: Scrutinizing the Role of Subjective Social Mobility. Social Psychology Quarterly, 85(2), 131-141. https://doi.org/10.1177/01902725211063818
Miller, D. T., & Ross, M. (1975). Self-Serving Biases in the Attribution of Causality: Fact or Fiction? Psychological Bulletin, 82(2), 213-225. https://doi.org/10.1037/h0076486
Núcleo de Sociología Contingente, [NUDESOC]. (2020). Informe de Resultados Oficial Encuesta Zona Cero. Santiago de Chile.
Otero, G., & Mendoza, M. (2024). The Power of Diversity: Class, Networks and Attitudes Towards Inequality. Sociology, 58(4), 851-876. https://doi.org/10.1177/00380385231217625
Panes, D. (2020). Críticas y Experiencias Obreras En Torno al Sistema de AFP’s En Chile (1981-2020) (Tesis doctoral). Universidad de Chile, Santiago.
Schmidt, A. W. (2011). The Experience of Social Mobility and the Formation of Attitudes toward Redistribution. En.
Somma, N. M., Bargsted, M., Disi Pavlic, R., & Medel, R. M. (2021). No Water in the Oasis: The Chilean Spring of 2019–2020. Social Movement Studies, 20(4), 495-502. https://doi.org/10.1080/14742837.2020.1727737
Streeck, W. (2016). How Will Capitalism End? Essays on a Failing System. London: Verso.
Superintendencia de Pensiones. (2024). Estadísticas de Afiliados En AFP En Sistema de Pensiones. Abril 2024. Superintendencia de Pensiones.
Svallfors, S. (2006). The Moral Economy of Class: Class and Attitudes in Comparative Perspective. Stanford University Press.
Svallfors, S. (Ed.). (2007). The Political Sociology of the Welfare State: Institutions, Social Cleavages, and Orientations (1.ª ed.). Stanford University Press. https://doi.org/10.2307/j.ctvr0qv0q
Torche, F. (2014). Intergenerational Mobility and Inequality: The Latin American Case. Annual Review of Sociology, 40(1), 619-642. https://doi.org/10.1146/annurev-soc-071811-145521
Young, M. (1958). The Rise of the Meritocracy. New Brunswick, N.J., U.S.A: Transaction Publishers.